Pixel Behavior Families
The majority of pixels in the Roman Wide Field Instrument (WFI) detectors operate as expected. However, each detector contains a small subset of pixels that exhibit anomalous behavior and are excluded or flagged during pipeline processing. This article describes the different classes of these anomalous pixels.
The Roman Wide Field Instrument (WFI) contains a focal plane array of eighteen H4RG-10 detectors, which are HgCdTe 4096 pixel by 4096 pixel photo-diode arrays. Each have undergone vigorous testing before launch to ensure that they will operate at peak performance during the primary five year mission and will be able to meet the stringent science requirements (see WFI Detectors for more information about the performance characterization activities of the WFI detectors). Over 98% of the pixels for each of the eighteen detectors maintains a stable, predictable response to illumination. As with any type of detector, there are a very small subset of pixels whose behavior deviates from the norm due to electronic and manufacturing imperfections. These result in three different behavior families:
- Pixels with low signal accumulation
- Pixels with higher signal accumulation
- Other anomalous pixels
The Science Operations Center (SOC) at STScI has analyzed data from the WFI-level Thermal Vacuum Testing campaigns (TVAC) to create preliminary bad pixel masks that will be utilized during pipeline processing. These bad pixel masks are used in the romancal.dq_init.DQInitStep() to mask certain classes of unusable bad pixels. More information about how romancal applies these masks, as well as the algorithms for creating the bad pixel masks, can be found in the Exposure Level Pipeline article in the Data Handbook Home.
Note
Pixels with Low Signal Accumulation
The SOC has developed algorithms to identify pixels that accumulate less signal than expected; a normalized slope image was created using averaged TVAC flat-field data. Two different classes of bad pixels were identified from this image.
Dead Pixels
Pixels with essentially zero (or very low) signal response to illumination are classified as dead pixels. Dead pixels consistently do not accumulate counts throughout an exposure. The Figure of a Dead Pixel provides an example of a dead pixel in WFI09. Dead pixels are not used for science analysis.
Figure of a Dead Pixel
Low Quantum Efficiency (QE) Pixels
Pixels that have a lower response to light are classified as low quantum efficiency pixels. These pixels are flagged when a pixel has < 50% of the normalized count rate of neighboring pixels. An example of a low QE pixel are show in the Figure of a Low QE Pixel. Low QE pixels are still sensitive enough to be used in pipeline processing once the low QE is taken into account.
Figure of a Low QE Pixel
Pixels with Higher Signal Accumulation
Pixels that accumulate signal in the absence of light can be identified by using long dark data from the TVAC tests. There are multiple classes of these types of pixels and can be differentiated between by fitting the ramps to different models and calculating the dark current of each pixel. In long dark exposures, a "good" pixel should have a linear ramp with a slope (i.e., dark rate) of less than 0.005 e-/sec to be used for science analysis (see the WFI Characterization Activities article for more information about the characterization of the detectors).
Hot Pixels
Hot pixels are identified as having a linear ramp and a dark current rate of more than 0.5 e-/sec. An example of a hot pixel ramp can be seen in the Figure of a Hot Pixel. Hot pixels are excluded for science analysis.
Figure of a Hot Pixel
Warm Pixels
Figure of a Warm Pixel
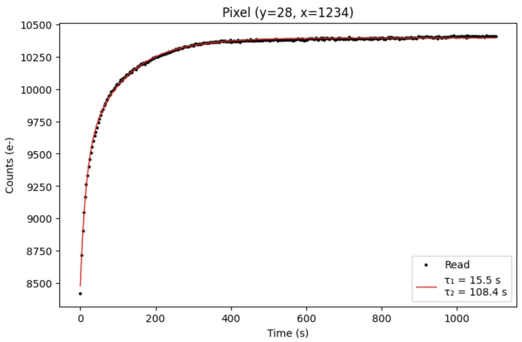
Resistor-Capacitor (RC)/Inverse RC Pixels
Figure of an RC Pixel
Telegraph Pixels
Figure of a Telegraph Pixel
The counts accumulated in an telegraph pixel on detector WFI09. Each black point is a single read, and the read time is 3.16015625 seconds. This pixel flips between three different states throughout the exposure, with each state highlighted in blue, red, and yellow.
Other Anomalous Pixels
Open and Adjacent Pixels
Figure of Open and Adjacent Pixels
Count rate behavior for open and adjacent pixels. Marked with a blue circle, the open pixel has significantly less signal than the four adjacent pixels. The four adjacent pixels have greater than 10% the normalized count rate value, which is why this pixel is flagged as OPEN/ADJ rather than dead.
For additional questions not answered in this article, please contact the Roman Help Desk.






